Bài 1 trang 68 sgk đại số 10
Cho hệ phương trình

Tại sao không cần giải ta cũng kết luận được hệ phương trình này vô nghiệm ?
Giải
Ta thấy rằng nhân vế trái phương trình thứ nhất với 2 thì được vế trái của phương trình thứ hai. Trong khi đó nhân vế phải phương trình thứ nhất với 2 thì kết quả khác với vế phải phương trình thứ hai. Vậy hệ phương trình vô nghiệm.
Cách khác:
Ta có: $\frac{7}{14}=\frac{-5}{-10}\ne \frac{9}{10}$ nên hệ vô nghiệm vì hai đường thẳng có phương trình lần lượt là: \[7x-5y=9\] và \[14x-10y=10\]song song với nhau.
Bài 2 trang 68 sgk đại số 10
Giải các hệ phương trình

Giải
a) Giải bằng phương pháp thế: $2x-3y=1\Rightarrow y=\frac{2x-1}{3}$
Thế vào phương trình thứ hai:
$x+2(\frac{2x-1}{3})=3\Rightarrow x=\frac{11}{7};y=\frac{2(\frac{11}{7})-1}{3}=\frac{5}{7}.$
Kết luận: Hệ phương trình có nghiệm duy nhất $\left( \frac{11}{7};\frac{5}{7} \right)$
Giải bằng phương pháp cộng đại số: Nhân hai vế của phương trình thứ hai với -2 rồi cộng với phương trình thứ nhất ta được

b) Giải tương tự câu a).
Đáp số: $\left( \frac{9}{11};\frac{7}{11} \right)$
c) Để tránh tính toán trên các phân số ta nhân phương trình thứ nhất với 6, nhân phương trình thứ hai với 12
Lấy phương trình thứ nhất trừ đi phương trình thứ hai ta được:

d) Nhân mỗi phương trình với 10 ta được

Nhân phương trình thứ nhất với 2 cộng vào phương trình thứ hai ta được

Bài 3 trang 68 sgk đại số 10
Hai bạn Vân và Lan đến cửa hàng mua trái cây. Bạn Vân mua 10 quả quýt, 7 quả cam với giá tiền là 17.800 đồng. Bạn Lan mua 12 quả quýt, 6 quả cam hết 18.000 đồng. Hỏi giá tiền mỗi quả quýt và mỗi quả cam là bao nhiêu ?
Giải
Gọi x (đồng) là giá tiền một quả quýt và y (đồng) là giá tiền một quả cam. Điều kiện x > 0, y > 0.
Bạn Vân mua 10 quả quýt, 7 quả cam với giá tiền là 17.800 đồng nên ta có:
10x + 7y = 17800 (1)
Bạn Lan mua 12 quả quýt, 6 quả cam hết 18.000 đồng nên ta có:
12x + 6y = 18000 (2)
Từ (1) và (2) ta có hệ phương trình sau:

Vậy giá tiền một quả quýt: 800 đồng, một quả cam 1400 đồng.
Bài 4 trang 68 sgk đại số 10
Có hai dây chuyền may áo sơ mi. Ngày thứ nhất cả hai dây chuyền may được 930 áo. Ngày thứ hai do dây chuyền thứ nhất tăng năng suất 18% , dây chuyền thứ hai tăng năng suất 15% nên cả hai dây chuyền may được 1083 áo. Hỏi trong ngày thứ nhất mỗi dây chuyền may được bao nhiêu áo sơ mi ?
Giải
Gọi số áo may được của dây chuyền thứ nhất và thứ hai trong ngày thứ nhất theo thứ tự là x, y (cái). Điều kiện x, y nguyên dương
Ngày thứ nhất cả hai dây chuyền may được 930 áo nên ta có phương trình: x+y=930
Ngày thứ hai do dây chuyền thứ nhất tăng năng suất 18% , dây chuyền thứ hai tăng năng suất 15% nên ngày thứ hai các dây chuyền thứ nhất may được 1,18x (cái) và dây chuyền thứ hai may được 1,15y (cái). Tổng số áo may được trong ngày thứ hai là 1083 áo nên ta có phương trình: 1,18x + 1,15y = 1083
Ta có hệ phương trình:

Vậy ngày thứ nhất hai dây chuyền may được số áo tương ứng là 450 cái và 480 cái.
Bài 5 trang 68 sgk đại số 10
Giải các hệ phương trình

Giải
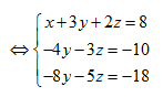
a) $x+3y+2z=8\Rightarrow x=8-3y-2z.$
Thế vào phương trình thứ hai và thứ ba thì được

Giải hệ hai phương trình với ẩn y và z:

Nghiệm của hệ phương trình ban đầu là (1; 1; 2).
Ta cũng có thể giải bằng phương pháp cộng đại số như sau: Nhân phương trình thứ nhất với -2 rồi cộng vào phương trình thứ hai.
Nhân phương trình thứ nhất với -3 cộng vào phương trình thứ ba thì được

.png)
Giải hệ phương trình
ta được kết quả như trên.
.png)
Bài 6 trang 68 sgk đại số 10
Một cửa hàng bán áo sơ mi, quần âu nam và váy nữ. Ngày thứ nhất bán được 12 áo, 21 quần và 18 váy, doanh thu là 5.349.000 đồng. Ngày thứ hai bán được 16 áo, 24 quần và 12 váy, doanh thu là 5.600.000 đồng. Ngày thứ ba bán được 24 áo, 15 quần và 12 váy, doanh thu là 5.259.000 đồng. Hỏi giá bán mỗi áo, mỗi quần và mỗi váy là bao nhiêu ?
Giải
Đặt x, y, z theo thứ tự là giá tiền bán một áo sơ mi, một quần âu và một váy nữ. Điều kiện x, y, z >0.
Ngày thứ nhất bán được 12 áo, 21 quần và 18 váy, doanh thu là 5.349.000 đồng nên ta có phương trình: 12x+21y+18z=5349000
Ngày thứ hai bán được 16 áo, 24 quần và 12 váy, doanh thu là 5.600.000 đồng nên ta có phương trình: 16x+24y+12z=5600000
Ngày thứ ba bán được 24 áo, 15 quần và 12 váy, doanh thu là 5259000 đồng nên ta có phương trình: 24x+15y+12z=5259000
Ta có hệ phương trình:
.png)
Vậy giá tiền một áo là 98000, một quần âu nam là 125000 và váy nữ là 86000.
Bài 7 trang 68 sgk đại số 10
Giải các hệ phương trình sau bằng máy tính bỏ túi (làm tròn kết quả đến chữ số thập phân thứ hai)
.png)
Giải
a) Nếu sử dụng máy tính CASIO fx-500 MS ta ấn liên tiếp các phím
.png)
thấy hiện ra màn hình x = 0.048780487
Ấn tiếp phím
ta thấy màn hình hiện ra y = -1.170731707.
Làm tròn kết quả đến chữ số thập phân thứ hai ta được nghiệm gần đúng của hệ phương trình là
.png)
b) Ấn.png)
Kết quả x = 0.105263157. Ấn tiếp
kết quả y = -1.736842105.
c) Ấn.png)
thấy hiện ra trên màn hình x=0.217821782.
Ấn tiếp phím
ta thấy màn hình hiện ra y = 1.297029703.
Ấn tiếp phím
trên màn hình hiện ra z = -0.386138613.
Vậy nghiệm gần đúng của hệ phương trình là (làm tròn kết quả đế chữ số thập phân thứ hai)
.png)
d) Thực hiện tương tự câu c).
Kết quả:
x = -1.870967742;
y = -0.35483709;
z = 0.193548387.