Câu 1 trang 50 SGK Đại số 10
Phát biểu quy ước về tập xác định của một hàm số được cho bởi công thức.
Hai hàm số \(y = {{x + 1} \over {(x + 1)({x^2} + 2)}}\) và \(y = {1 \over {{x^2} + 2}}\) có gì khác nhau?
Giải
Một hàm số cho bởi công thức \(y = f(x)\) mà không chú thích gì về tập các định thì ta quy ước rằng tập xác định của hàm số ấy là tập hợp tất cả \(x∈\mathbb R\) sao cho biểu thức \(f(x)\) có nghĩa.
Hàm số \(y = {{x + 1} \over {(x + 1)({x^2} + 2)}}\) có tập xác định \(D = \mathbb R\backslash {\rm{\{ }} - 1\} \) còn hàm số \(y = {1 \over {{x^2} + 2}}\) có tập xác định là \(D =\mathbb R\). Do đó hai hàm số khác nhau (mặc dù rằng với mọi \(x ≠ -1\) giá trị của hàm số luôn bằng nhau khi \(x\) lấy cùng một giá trị.
Câu 2 trang 50 SGK Đại số 10
Thế nào là hàm số đồng biến (nghịch biến) trên khoảng \((a,b)\)?
Giải
Hàm số đồng biến trên \((a,b)\)
\( \Leftrightarrow {\rm{ }}\forall {x_1},{\rm{ }}{x_2}{\rm{ }} \in {\rm{ }}\left( {a,{\rm{ }}b} \right):{\rm{ }}{x_1} < {x_2} \Rightarrow {\rm{ }}f({x_1}){\rm{ }} < {\rm{ }}f({x_2})\)
Hàm số nghịch biến trên \((a,b)\)
\( \Leftrightarrow {\rm{ }}\forall {x_1},{\rm{ }}{x_2}{\rm{ }} \in {\rm{ }}\left( {a,{\rm{ }}b} \right):{\rm{ }}{x_{1}} < {\rm{ }}{x_2} \Rightarrow {\rm{ }}f({x_1}){\rm{ }} > {\rm{ }}f({x_2})\)
Câu 3 trang 50 SGK Đại số 10
Thế nào là hàm số chẵn? Thế nào là hàm số lẻ? Tìm ví dụ về hàm số chẵn, hàm số lẻ, hàm số không là hàm chẵn cũng không là hàm lẻ. Có hàm số nào vừa làm hàm chẵn, vừa là hàm lẻ không?
Giải
Cho hàm số \(y = f(x)\) có tập xác định \(D\)
Nếu \(∀x ∈ D\), ta có \(-x ∈D\) và \(f(-x) = f(x)\) thì \(f(x)\) là hàm số chẵn trên \(D\)
Nếu \(∀x ∈ D\), ta có \(-x ∈D\) và \(f(-x) = -f(x)\) thì \(f(x)\) là hàm số lẻ trên \(D\)
Câu 4 trang 50 SGK Đại số 10
Chỉ ra khoảng đồng biến, khoảng nghịch biến của hàm số \(y = ax+b\) trong mỗi trường hợp \(a>0; a<0\).
Giải
Hàm số \(y = ax+b\)
Đồng biến trên \((-∞, +∞)\) nếu \(a>0\)
Nghịch biến trên \((-∞, +∞)\) nếu \(a<0\)
Câu 5 (trang 50 SGK Đại số 10 ôn tập chương 2)
Chỉ ra khoảng đồng biến, khoảng nghịch biến y = ax2 + bx + c, trong mỗi trường hợp a > 0; a < 0.
Giải
- a > 0 hàm số nghịch biến trên (-∞; -b/2a) và đồng biến trên khoảng (-b/2a; +∞)
- a < 0 hàm số đồng biến trên (-∞; -b/2a) và nghịch biến trên khoảng (-b/2a; +∞)
Trong đó ∆ = b2 – 4ac.
Bài 6 (trang 50 SGK Đại số 10 ôn tập chương 2)
Xác định tọa độ của đỉnh, phương trình của trục đối xứng của parabol y = ax2 + bx + c
Giải
Tọa độ đỉnh $\left( \frac{-b}{2a},\frac{-\Delta }{4a} \right)$
Trục đối xứng \(x = {{ - b} \over {2a}}\)
Bài 7 (trang 50 SGK Đại số 10 ôn tập chương 2)
Xác định tọa độ giao điểm của parabol y = ax2 + bx + c với trục tung. Tìm điều kiện để parabol này cắt trục hoành tại hai điểm phân biệt, tại một điểm và viết tọa độ của các giao điểm trong mỗi trường hợp đó.
Giải
Giao điểm với trục tung \(P(0,c)\).
Điều kiện để parabol cắt trục hoành tại hai điểm phân biệt \(Δ = b^2-4ac > 0\)
Điều kiện để parabol cắt trục hoành tại một điểm là: \(Δ = b^2-4ac = 0\)
Tọa độ giao điểm là: \(A\left( { - {b \over {2a}};0} \right)\)
Các trường hợp đặc biệt để \(Δ>0\) là \(a>0\), \(c<0\)
( hoặc \(a<0\) và \(c>0\)).
Bài 8 (trang 50 SGK Đại số 10 ôn tập chương 2)
Tìm tập xác định các hàm số
a) $y=\frac{2}{x+1}+\sqrt{x+3}$
b) $y=\sqrt{2-3x}-\frac{1}{\sqrt{1-2x}}$
c) .png)
Giải
a) \({2 \over {x + 1}}\) xác định với \(x≠-1\), \(\sqrt {x + 3}\) xác định với \(x ≥ -3\)
Tập xác định của \(y\) là
$D=\{x\in \mathbb{R}|x+1\ne 0$ và $x+3\ge 0\}=[-3;+\infty )\backslash \{-1\}$
Có thể viết cách khác: \(D = [-3, -1] ∪ (-1, +∞)\)
b) Tập xác định
$D=\left\{ x\in \mathbb{R}|2-3x\ge 0 \right\}\cap \left\{ x\in \mathbb{R}|1-2x>0 \right\}$
= [-∞, \({2 \over 3}\) ]∩(-∞, \({1 \over 2}\)) = (-∞, \({1 \over 2}\))
c) Tập xác định là:
$D=[1,+\infty )\cup (-\infty ,1)=\mathbb{R}$
Bài 9 (trang 50 SGK Đại số 10 ôn tập chương 2)
Xét chiều biến thiên và vẽ đồ thị các hàm số.
a) \(y = {1 \over 2}x - 1\)
b) \(y = 4 - 2x\)
c) \(y = \sqrt {{x^2}} \)
d) \(y = |x+1|\)
Giải
a) \(y = {1 \over 2}x - 1\)
Bảng biến thiên
Đồ thị hàm số
.png)
Đồ thị là đường thẳng đi qua \(2\) điểm:
+ Giao với trục tung \(P(0,-1)\)
+ Giao với trục hoành \(Q(2, 0)\)
b) \(y = 4 - 2x\)
Bảng biến thiên
Đồ thị hàm số
.png)
Đồ thị là đường thẳng đi qua \(2\) điểm:
+ Giao với trục tung \(P(0,4)\)
+ Giao với trục hoành \(Q(2, 0)\)
c) .png)
Bảng biến thiên
.png)
Đồ thị hàm số
.png)
d)
.png)
Bảng biến thiên
.png)
Đồ thị hàm số:
.png)
Bài 10 (trang 51 SGK Đại số 10 ôn tập chương 2)
Lập bảng biến thiên và vẽ đồ thị các hàm số
a) y = x2 – 2x – 1 b) y = -x2 + 3x + 2
Giải
a) y = x2 – 2x – 1
Tập xác định \(D =\mathbb R\)
Bảng biến thiên
.png)
Đồ thị hàm số
Đồ thị: parabol có đỉnh \(I(1; -2)\) với trục đối xứng \(x = 1\)
Giao điểm với trục tung là \(P(0;-1)\)
Giao điểm với trục hoành \(A (1-\sqrt2; 0)\) và \(B((1+\sqrt2; 0)\)
.png)
b) \(y = -x^2+ 3x + 2\)
Tập xác định \(D =\mathbb R\)
.png)
Đồ thị hàm số
Đồ thị: parabol có đỉnh \(I \left({3 \over 2},{{17} \over 4}\right)\)
với trục đối xứng \(x ={3 \over 2}\)
Giao điểm với trục tung là \(P(0,2)\)
Giao điểm với trục hoành \( A \left({{3 - \sqrt {17} } \over 2},0\right)\) và \(B\left({{3 + \sqrt {17} } \over 2},0\right)\)
Bài 11 (trang 51 SGK Đại số 10 ôn tập chương 2)
Xác định a,b biết đường thẳng y = ax + b đi qua hai điểm A(1; 3), B(-1; 5)
Đáp án và hướng dẫn giải bài 11
Đường thẳng d: y = ax + b
A(1; 3 ) ∈ d ⇔ 3 = a + b
B(-1; 5) ∈ d ⇔ 5 = -a + b
Giải hệ (1) và (2) ta được a = -1; b = 4
Bài 12 (trang 51 SGK Đại số 10 ôn tập chương 2)
Xác định a, b, c biết parabol y = ax2 + bx + c
a) Đi qua ba điểm a(0; -1), B(1; -1), C(-1; 1);
b) Có đỉnh I(1; 4) và đi qua điểm D(3; 0).
Giải
a) Parabol \(y = ax^2+bx+c\) đi qua ba điểm \(A(0;-1), B(1; -1), C(-1; 1)\) nên tọa độ \(A,B,C\) thỏa mãn phương trình parabol ta được hệ phương trình:
.png)
Parabol có phương trình: $y={{x}^{2}}-x-1$
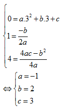
b) Parabol \(y = ax^2+bx+c\) đi qua điểm \(D(3; 0)\) và có đỉnh \(I(1; 4)\) nên ta có hệ:
.png)
Phương trình parabol : \(y = -x^2+2x+3\)
Phần bài tập trắc nghiệm:
Chọn đáp án đúng cho các phần bài tập sau
Câu 13 trang 51 SGK Đại số 10
Tìm tập xác định của hàm số $y=\sqrt{x-3}-\sqrt{1-2x}$ là:
(A) \(D = \left[{1 \over 2},3\right]\)
(B) \(D = [3,+ ∞)∪\left[-∞,{1 \over 2}\right]\)
(C) D = Ø
(D) \(D =\mathbb R\)
Giải
Tập xác định
.png)
Mệnh đề C đúng.
Câu 14 trang 51 SGK Đại số 10
Parabol $y=3{{x}^{2}}-2x+1$ có đỉnh là:
(A) \(I( - {1 \over 3},{2 \over 3})\)
(B) \(I( - {1 \over 3}, - {2 \over 3})\)
(C) \(I({1 \over 3}, - {2 \over 3})\)
(D) \(I({1 \over 3},{2 \over 3})\)
Giải
Tọa độ đỉnh của parabol \(y = ax^2+bx+c\) là \(I({{ - b} \over {2a}},{{4ac - {b^2}} \over {4a}})\)
Thay \(a = 3, b = -2, c = 1\) ta có đỉnh \(I({1 \over 3},{2 \over 3})\)
Chọn D
Câu 15 trang 51 SGK Đại số 10
Hàm số $y={{x}^{2}}-5x+3$
(A) Đồng biến trên khoảng \(\left(-∞;{5 \over 2}\right)\)
(B) Đồng biến trên khoảng \(\left({5 \over 2} , +∞\right)\)
(C) Nghịch biến trên khoảng \(\left({5 \over 2}, +∞\right)\)
(D) Đồng biến trên khoảng \((0,3)\)
Giải
Hàm số $y={{x}^{2}}-5x+3$ với \(a>0\) nghịch biến trên \(\left(-∞, {{ - b} \over {2a}}\right)\) đồng biến trên \(\left({{ - b} \over {2a}} ,+∞\right)\)
Ta có: \(a =1, b = -5, c = 3\) ta thấy $y={{x}^{2}}-5x+2$ đồng biến trên \(({5 \over 2} ; +∞)\)
Mệnh đề (B) đúng.