Bài 20 ( Trang 54 – SGK)
Hãy chỉ ra ba cặp đường thẳng cắt nhau và các cặp đường thẳng song song với nhau trong số các đường thẳng sau:
a) y = 1,5x + 2; b) y = x + 2;
c) y = 0,5x - 3; d) y = x - 3;
e) y = 1,5x - 1; g) y = 0,5x + 3.
Hướng dẫn giải:
Các cặp đường thẳng cắt nhau là:
y = 1,5x + 2 và y = x + 2
y = x + 2 và y = 0,5x - 3
y = 1,5x + 2 và y = 0,5x + 3
Các cặp đường thẳng song song là:
y = 1,5x + 2 và y = 1,5x - 1
y = x + 2 và y = x - 3
y = 0,5x - 3 và y = 0,5x + 3
Bài 21 ( Trang 54 – SGK)
Cho hàm số bậc nhất y = mx + 3 và y = (2m + 1)x – 5. Tìm giá trị của m để đồ thị của hai hàm số đã cho là:
a) Hai đường thẳng song song với nhau;
b) Hai đường thẳng cắt nhau.
Hướng dẫn giải:
a) Để hai đường thẳng song song thì:
.png)
b) Để hai đường thẳng cắt nhau thì:
\[m\ne 2m+1\Leftrightarrow m\ne -1\]
Bài 22 ( Trang 55- SGK)
Cho hàm số y = ax + 3. Hãy xác định hệ số a trong mỗi trường hợp sau:
a) Đồ thị của hàm số song song với đường thẳng y = -2x
b) Khi x = 2 thì hàm số có giá trị y = 7.
Hướng dẫn giải:
a) Để hai hàm số y = ax + 3 và y = -2x song song với nhau thì hệ số đứng trước x phải bằng nhau.
Tức là: a = -2
b) Với x = 2, y = 7 thì hàm số trở thành:
\[7=2a+3\Rightarrow a=2\]
Bài 23 ( Trang 55 – SGk)
Cho hàm số y = 2x + b. Hãy xác định hệ số b trong mỗi trường hợp sau:
a) Đồ thị của hàm số đã cho cắt trục tung tại điểm có tung độ bằng -3;
b) Đồ thị của hàm số đã cho đi qua điểm A(1; 5).
Hướng dẫn giải:
a) Đồ thị hàm số cắt trục tung tại điểm có tung độ bằng (-3) có nghĩa là x = 0; y = -3
\[\Leftrightarrow -3=0.2+b\Rightarrow b=-3\]
b) Đồ thị hàm số đi qua điểm A(1; 5) có nghĩa là tọa độ A thỏa mãn phương trình hàm số
\[\Leftrightarrow 5=2.1+b\Rightarrow b=3\]
Bài 24 ( Trang 55 – SGK)
Cho hai hàm số bậc nhất y = 2x + 3k và y = (2m + 1)x + 2k – 3.
Tìm điều kiện đối với m và k để đồ thị của hai hàm số là:
a) Hai đường thẳng cắt nhau;
b) Hai đường thẳng song song với nhau;
c) Hai đường thằng trùng nhau.
Hướng dẫn giải:
Hàm số đã cho là hàm bậc nhất nên \[2m+1\ne 0\Leftrightarrow m\ne -\frac{1}{2}\]
a) Hai đường thẳng cắt nhau:
.png)
Kết hợp điều kiện hàm bậc nhất \[m\ne \pm \frac{1}{2}\]
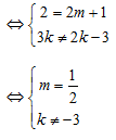
b) Hai đường thẳng song song:
.png)
c) Hai đường thẳng trùng nhau:
.png)
Bài 25 ( trang 55 – SGK)
a) Vẽ đồ thị của các hàm số sau trên cùng một mặt phẳng tọa độ:
\[y=\frac{2}{3}x+2\]; \[y=-\frac{3}{2}x+2\]
b) Một đường thẳng song song với trục hoành Ox, cắt trục tung Oy tại điểm có tung độ bằng 1, cắt các đường thẳng \[y=\frac{2}{3}x+2\] và \[y=-\frac{3}{2}x+2\] theo thứ tự tại hai điểm M và N. Tìm tọa độ của hai điểm M và N.
Hướng dẫn giải:
a) Đồ thị được vẽ như hình dưới
.png)
b) Vì M thuộc đồ thị y = 1 và \[y=\frac{2}{3}x+2\]
\[\Rightarrow \frac{2}{3}{{x}_{M}}+2=1\Rightarrow {{x}_{M}}=\frac{-3}{2}\]
\[\Rightarrow M\left( -\frac{3}{2};1 \right)\]
Vì N thuộc đồ thị y =1 và \[y=-\frac{3}{2}x+2\]
\[\Rightarrow -\frac{3}{2}{{x}_{N}}+2=1\Rightarrow {{x}_{N}}=\frac{2}{3}\]
\[\Rightarrow N\left( \frac{2}{3};1 \right)\]
Ta có đồ thị:
.png)
Bài 26 ( Trang 55 – SGK)
Cho hàm số bậc nhất y = ax - 4 (1). Hãy xác định hệ số a trong mỗi trường hợp sau:
a) Đồ thị của hàm số (1) cắt đường thẳng y = 2x - 1 tại điểm có hoành độ bằng 2.
b) Đồ thị của hàm số (1) cắt đường thẳng y = -3x + 2 tại điểm có tung độ bằng 5.
Hướng dẫn giải:
a) Giả sử hai hàm số cắt nhau tại \[A\left( {{x}_{A}};{{y}_{A}} \right)\],hoành độ giao điểm là \[{{x}_{A}}=2\], A là giao điểm nên tọa độ A thỏa mãn phương trình hàm số y = 2x - 1 do đó ta có:
\[{{y}_{A}}=2.2-1=3\Rightarrow A(2;3)\]
Thay tọa độ điểm A vào phương trình (1) ta được:
\[3=a.2-4\Rightarrow a=\frac{7}{2}\]
b) Giả sử hai hàm số cắt nhau tại \[B\left( {{x}_{B}};{{y}_{B}} \right)\], tung độ điểm cắt phương trình (1) là \[{{y}_{B}}=5\], B là giao điểm nên tọa độ của B thỏa mãn phương trình hàm số y = -3x + 2 do đó ta có:
\[5=-3.{{x}_{B}}+2\Rightarrow {{x}_{B}}=-1\Rightarrow B(-1;5)\]
Thay tọa độ điểm B vào phương trình (1):
\[5=-1.a-4\Rightarrow a=-9\]